Materiale pt. pregătirea tezei
Sem. 1, 2019-2020
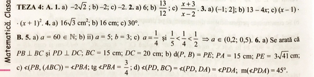
Clasa a 8-a
| Test-1 | Subiecte | Răspunsuri | Sursa: mate 2000, Paralela 45 |
| Test-2 | Subiecte (in clasa) | Răspunsuri | Sursa: mate 2000, Paralela 45 |
| Test-3 | Subiecte | Răspunsuri | Sursa: Liceul teoretic Dej, 2017 |
| Test-4 | Subiecte | Răspunsuri | Sursa: ISJ Ilfov, 2016 |
| Test-5 | Subiecte (in clasa) | Răspunsuri | Sursa: ISJ Ilfov, 2017 |
| Test-6 | Subiecte | Răspunsuri | Sursa: ISJ Ilfov, 2014 |
| Test-7 | Subiecte | Răspunsuri | Sursa: ISJ Ilfov, 2015 |
Clasa a 6-a
| Test-1 | Subiecte | Răspunsuri | Sursa: mate 2000, Paralela 45 |
| Test-2 | Subiecte (in clasa) | Răspunsuri | Sursa: mate 2000, Paralela 45 |
| Test-3 | Subiecte | Răspunsuri | Sursa: mate 2000, Paralela 45 |
| Test-4 | Subiecte | Răspunsuri | Sursa: mate 2000, Paralela 45 |
| Test-5 | Subiecte (in clasa) | Răspunsuri | Sursa: mate 2000, Paralela 45 |
| Test-6 | Subiecte | Răspunsuri | Sursa: mate 2000, Paralela 45 |
| Test-7 | Subiecte | Răspunsuri | Sursa: mate 2000, Paralela 45 |